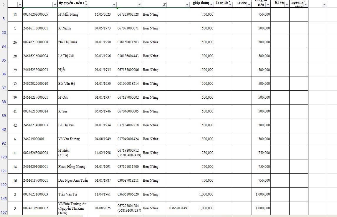
Trang chủ Thông báo Danh sách các đối tượng chưa nhận trợ cấp xã hội xã Quảng Sơn  13/11/2025 09:22 |   82 |  Thời gian chi trả: từ lúc 7h30-17h30, ngày 07/11/2025 (thứ sáu) Địa điểm: Ủy ban nhân dân xã (Phòng Văn hóa- xã hội). Lưu ý: khi đi mang theo cccd (photo), sổ nhận trợ cấp (nếu có), trường hợp nhận thay cần có giấy uỷ quyền.
Thời gian chi trả: từ lúc 7h30-17h30, ngày 07/11/2025 (thứ sáu) Địa điểm: Ủy ban nhân dân xã (Phòng Văn hóa- xã hội). Lưu ý: khi đi mang theo cccd (photo), sổ nhận trợ cấp (nếu có), trường hợp nhận thay cần có giấy uỷ quyền.